A nossa representada TA Instruments lançou recentemente no mercado mais um analisador da linha Discovery; o Analisador Termomecânico TMA 450.
Este tipo de equipamentos mede as alterações dimensionais dos materiais em função do tempo, temperatura e da força aplicada. O Discovery TMA 450 mede com precisão alterações dimensionais de -150 a 1000 ° C e pode ser equipado com uma ampla gama de acessórios, acomodando todas as configurações de amostra para teste nos modos de expansão, compressão, flexão e tensão.
Com as necessidades crescentes de materiais com melhores desempenhos para ir de encontro a aplicações específicas, é mais importante do que nunca entender como um material se comporta com o aumento da temperatura. O Discovery TMA 450 fornece informações sobre o coeficiente de expansão térmica linear (CTE) do material, encolhimento, amolecimento e temperaturas de transição vítrea. As alterações no volume livre de um material geralmente estão relacionadas com a viscoelasticidade, densidade de reticulação, envelhecimento, penetração de solventes e propriedades ao nível do impacto. O TMA 450 é particularmente útil para medir essas propriedades do material localmente, especialmente em componentes fabricados ou montagens onde a compatibilidade dos materiais é fundamental.
A propriedade mais comum medida em um TMA é o coeficiente de expansão térmica (CTE) de acordo com os padrões internacionais documentados nas normas ASTM E831, D969, D3380 e ISO 11359 Partes 1-3. O CTE descreve a expansão ou contração mecânica de um material numa determinada gama de temperatura. Com sensibilidade e reprodutibilidade incomparáveis, o TMA 450 é uma opção muito válida para medições de CTE.
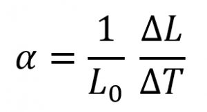
A CTE média é calculada como:

Onde α é o coeficiente médio de expansão térmica, ΔL é a expansão da amostra (µm) na gama de temperatura especificada, L0 é o comprimento inicial da amostra (mm) e ΔT é a mudança de temperatura (° C) durante o teste.
Entre em contacto conosco para mais informações sobre este ou outros equipamentos da nossa representada TA Instruments.



